我们经常在各种媒体上看到或听到“某领导人或候选人的支持率为73%,误差是±3%,置信水平为95%”等的宣传,这种民意调查的结果就是比例的区间估计。
实际应用时,经常需要估计总体中具有某种属性或特征的单位数占总体单位数的比例。例如在产品的质量检查中,需要估计合格品率或废品率;在服务行业,需要估计顾客对服务的满意度等等。这时我们就要用样本比例
估计总体比例
。在大样本条件下,根据中心极限定理,若
,
,则二项分布可用正态分布近似,即:

标准化后服从标准正态分布,即:

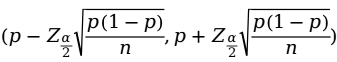
同总体均值的置信区间构造方法一样,可得在
的置信水平下的置信区间为:

但一般总体比率
未知,需用样本比率
代替,即:
